Beispiele#

Dies ist die Galerie von Beispielen, die zeigen, wie scikit-learn verwendet werden kann. Einige Beispiele demonstrieren die allgemeine Verwendung der API, andere demonstrieren spezifische Anwendungen in Tutorial-Form. Lesen Sie auch unseren Benutzerhandbuch für detailliertere Erläuterungen.

Release-Highlights#

Diese Beispiele veranschaulichen die Hauptmerkmale der scikit-learn-Releases.

Release Highlights für scikit-learn 1.8

Release Highlights für scikit-learn 1.8

Release Highlights für scikit-learn 1.7

Release Highlights für scikit-learn 1.7

Release Highlights für scikit-learn 1.6

Release Highlights für scikit-learn 1.6

Release Highlights für scikit-learn 1.5

Release Highlights für scikit-learn 1.5

Release Highlights für scikit-learn 1.4

Release Highlights für scikit-learn 1.4

Release Highlights für scikit-learn 1.3

Release Highlights für scikit-learn 1.3

Release Highlights für scikit-learn 1.2

Release Highlights für scikit-learn 1.2

Release Highlights für scikit-learn 1.1

Release Highlights für scikit-learn 1.1

Release Highlights für scikit-learn 1.0

Release Highlights für scikit-learn 1.0

Release Highlights für scikit-learn 0.24

Release Highlights für scikit-learn 0.24

Release Highlights für scikit-learn 0.23

Release Highlights für scikit-learn 0.23

Release Highlights für scikit-learn 0.22

Release Highlights für scikit-learn 0.22

Biclustering#

Beispiele zu Biclustering-Techniken.

Eine Demo des Spectral Biclustering Algorithmus

Eine Demo des Spectral Biclustering Algorithmus

Eine Demo des Spectral Co-Clustering Algorithmus

Eine Demo des Spectral Co-Clustering Algorithmus

Biclustering von Dokumenten mit dem Spectral Co-Clustering Algorithmus

Biclustering von Dokumenten mit dem Spectral Co-Clustering Algorithmus

Kalibrierung#

Beispiele, die die Kalibrierung von vorhergesagten Wahrscheinlichkeiten von Klassifikatoren veranschaulichen.

Vergleich der Kalibrierung von Klassifikatoren

Vergleich der Kalibrierung von Klassifikatoren

Wahrscheinlichkeitskalibrierungskurven

Wahrscheinlichkeitskalibrierungskurven

Wahrscheinlichkeitskalibrierung für 3-Klassen-Klassifikation

Wahrscheinlichkeitskalibrierung für 3-Klassen-Klassifikation

Wahrscheinlichkeitskalibrierung von Klassifikatoren

Wahrscheinlichkeitskalibrierung von Klassifikatoren

Klassifizierung#

Allgemeine Beispiele zu Klassifizierungsalgorithmen.

Klassifikator-Vergleich

Klassifikator-Vergleich

Lineare und Quadratische Diskriminanzanalyse mit Kovarianzellipsoid

Lineare und Quadratische Diskriminanzanalyse mit Kovarianzellipsoid

Normale, Ledoit-Wolf und OAS Lineare Diskriminanzanalyse zur Klassifikation

Normale, Ledoit-Wolf und OAS Lineare Diskriminanzanalyse zur Klassifikation

Klassifikationswahrscheinlichkeit plotten

Klassifikationswahrscheinlichkeit plotten

Erkennung handschriftlicher Ziffern

Erkennung handschriftlicher Ziffern

Clustering#

Beispiele zum sklearn.cluster Modul.

Eine Demo des K-Means Clusterings auf den handschriftlichen Zifferndaten

Eine Demo des K-Means Clusterings auf den handschriftlichen Zifferndaten

Eine Demo des strukturierten Ward Hierarchischen Clusterings auf einem Bild von Münzen

Eine Demo des strukturierten Ward Hierarchischen Clusterings auf einem Bild von Münzen

Eine Demo des Mean-Shift Clustering Algorithmus

Eine Demo des Mean-Shift Clustering Algorithmus

Anpassung für Zufälligkeit in der Clusterleistungsbewertung

Anpassung für Zufälligkeit in der Clusterleistungsbewertung

Agglomeratives Clustering mit verschiedenen Metriken

Agglomeratives Clustering mit verschiedenen Metriken

Ein Beispiel für K-Means++ Initialisierung

Ein Beispiel für K-Means++ Initialisierung

Vergleich der Leistung von Bisecting K-Means und Regular K-Means

Vergleich der Leistung von Bisecting K-Means und Regular K-Means

Vergleich von BIRCH und MiniBatchKMeans

Vergleich von BIRCH und MiniBatchKMeans

Vergleich verschiedener Clustering-Algorithmen auf Toy-Datensätzen

Vergleich verschiedener Clustering-Algorithmen auf Toy-Datensätzen

Vergleich verschiedener hierarchischer Linkage-Methoden auf Toy-Datensätzen

Vergleich verschiedener hierarchischer Linkage-Methoden auf Toy-Datensätzen

Vergleich der K-Means und MiniBatchKMeans Clustering-Algorithmen

Vergleich der K-Means und MiniBatchKMeans Clustering-Algorithmen

Demo des DBSCAN Clustering Algorithmus

Demo des DBSCAN Clustering Algorithmus

Demo des HDBSCAN Clustering Algorithmus

Demo des HDBSCAN Clustering Algorithmus

Demo des OPTICS Clustering Algorithmus

Demo des OPTICS Clustering Algorithmus

Demo des Affinity Propagation Clustering Algorithmus

Demo des Affinity Propagation Clustering Algorithmus

Demonstration von K-Means Annahmen

Demonstration von K-Means Annahmen

Empirische Auswertung des Einflusses der K-Means Initialisierung

Empirische Auswertung des Einflusses der K-Means Initialisierung

Merkmalsagglomeration

Merkmalsagglomeration

Merkmalsagglomeration vs. univariate Auswahl

Merkmalsagglomeration vs. univariate Auswahl

Hierarchisches Clustering mit und ohne Struktur

Hierarchisches Clustering mit und ohne Struktur

Induktives Clustering

Induktives Clustering

Online-Lernen eines Diktionärs von Gesichtsteilen

Online-Lernen eines Diktionärs von Gesichtsteilen

Hierarchisches Clustering Dendrogramm plotten

Hierarchisches Clustering Dendrogramm plotten

Segmentierung des Bildes von griechischen Münzen in Regionen

Segmentierung des Bildes von griechischen Münzen in Regionen

Auswahl der Anzahl von Clustern mit Silhouette-Analyse auf KMeans-Clustering

Auswahl der Anzahl von Clustern mit Silhouette-Analyse auf KMeans-Clustering

Spektrales Clustering für Bildsegmentierung

Spektrales Clustering für Bildsegmentierung

Verschiedenes Agglomeratives Clustering auf einer 2D-Einbettung von Ziffern

Verschiedenes Agglomeratives Clustering auf einer 2D-Einbettung von Ziffern

Vektorquantisierungsbeispiel

Vektorquantisierungsbeispiel

Kovarianzschätzung#

Beispiele zum sklearn.covariance Modul.

Ledoit-Wolf vs OAS Schätzung

Ledoit-Wolf vs OAS Schätzung

Robuste Kovarianzschätzung und Relevanz von Mahalanobis-Distanzen

Robuste Kovarianzschätzung und Relevanz von Mahalanobis-Distanzen

Robuste vs. Empirische Kovarianzschätzung

Robuste vs. Empirische Kovarianzschätzung

Schrumpfkovarianzschätzung: LedoitWolf vs OAS und Maximum-Likelihood

Schrumpfkovarianzschätzung: LedoitWolf vs OAS und Maximum-Likelihood

Schwachstellen-Inverse Kovarianzschätzung

Schwachstellen-Inverse Kovarianzschätzung

Kreuzzerlegung#

Beispiele zum sklearn.cross_decomposition Modul.

Vergleich von Kreuzzerlegungsmethoden

Vergleich von Kreuzzerlegungsmethoden

Principal Component Regression vs. Partial Least Squares Regression

Principal Component Regression vs. Partial Least Squares Regression

Datensatzbeispiele#

Beispiele zum sklearn.datasets Modul.

Zufällig generierten Multilabel-Datensatz plotten

Zufällig generierten Multilabel-Datensatz plotten

Entscheidungsbäume#

Beispiele zum sklearn.tree Modul.

Entscheidungsbaum-Regression

Entscheidungsbaum-Regression

Entscheidungsfläche von Entscheidungsbäumen, trainiert auf dem Iris-Datensatz, plotten

Entscheidungsfläche von Entscheidungsbäumen, trainiert auf dem Iris-Datensatz, plotten

Post-Pruning Entscheidungsbäume mit Kostenkomplexität

Post-Pruning Entscheidungsbäume mit Kostenkomplexität

Verständnis der Entscheidungsbaumstruktur

Verständnis der Entscheidungsbaumstruktur

Zerlegung#

Beispiele zum sklearn.decomposition Modul.

Blind Source Separation mit FastICA

Blind Source Separation mit FastICA

Vergleich von LDA und PCA 2D-Projektion des Iris-Datensatzes

Vergleich von LDA und PCA 2D-Projektion des Iris-Datensatzes

Zerlegung von Gesicht-Datensätzen

Zerlegung von Gesicht-Datensätzen

Faktorenanalyse (mit Rotation) zur Visualisierung von Mustern

Faktorenanalyse (mit Rotation) zur Visualisierung von Mustern

FastICA auf 2D Punktwolken

FastICA auf 2D Punktwolken

Bildrauschen mit Dictionary Learning

Bildrauschen mit Dictionary Learning

Inkrementelles PCA

Inkrementelles PCA

Kernel PCA

Kernel PCA

Modellauswahl mit Probabilistischem PCA und Faktorenanalyse (FA)

Modellauswahl mit Probabilistischem PCA und Faktorenanalyse (FA)

Principal Component Analysis (PCA) auf dem Iris-Datensatz

Principal Component Analysis (PCA) auf dem Iris-Datensatz

Sparse Coding mit einem voreingestellten Dictionary

Sparse Coding mit einem voreingestellten Dictionary

Entwicklung von Estimatorn#

Beispiele zur Entwicklung benutzerdefinierter Estimator.

__sklearn_is_fitted__ als Entwickler-API

__sklearn_is_fitted__ als Entwickler-API

Ensemble-Methoden#

Beispiele zum sklearn.ensemble Modul.

Unterstützung für kategorische Merkmale in Gradient Boosting

Unterstützung für kategorische Merkmale in Gradient Boosting

Prädiktoren mit Stacking kombinieren

Prädiktoren mit Stacking kombinieren

Vergleich von Random Forests und Histogram Gradient Boosting Modellen

Vergleich von Random Forests und Histogram Gradient Boosting Modellen

Vergleich von Random Forests und dem Multi-Output Meta-Estimator

Vergleich von Random Forests und dem Multi-Output Meta-Estimator

Entscheidungsbaum-Regression mit AdaBoost

Entscheidungsbaum-Regression mit AdaBoost

Frühes Stoppen in Gradient Boosting

Frühes Stoppen in Gradient Boosting

Merkmalswichtigkeiten mit einem Wald von Bäumen

Merkmalswichtigkeiten mit einem Wald von Bäumen

Merkmals Transformationen mit Ensemble von Bäumen

Merkmals Transformationen mit Ensemble von Bäumen

Merkmale in Histogram Gradient Boosting Bäumen

Merkmale in Histogram Gradient Boosting Bäumen

Gradient Boosting Out-of-Bag Schätzungen

Gradient Boosting Out-of-Bag Schätzungen

Gradient Boosting Regression

Gradient Boosting Regression

Gradient Boosting Regularisierung

Gradient Boosting Regularisierung

Hashing-Merkmals-Transformation mit Totally Random Trees

Hashing-Merkmals-Transformation mit Totally Random Trees

IsolationForest Beispiel

IsolationForest Beispiel

Monotone Einschränkungen

Monotone Einschränkungen

Multi-Klassen AdaBoosted Entscheidungsbäume

Multi-Klassen AdaBoosted Entscheidungsbäume

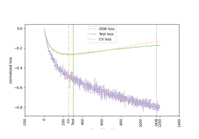
OOB-Fehler für Random Forests

OOB-Fehler für Random Forests

Vorhersagen von einzelnen und abstimmenden Regressionsmodellen plotten

Vorhersagen von einzelnen und abstimmenden Regressionsmodellen plotten

Entscheidungsflächen von Ensembles von Bäumen auf dem Iris-Datensatz plotten

Entscheidungsflächen von Ensembles von Bäumen auf dem Iris-Datensatz plotten

Vorhersageintervalle für Gradient Boosting Regression

Vorhersageintervalle für Gradient Boosting Regression

Einzelner Estimator versus Bagging: Bias-Varianz-Zerlegung

Einzelner Estimator versus Bagging: Bias-Varianz-Zerlegung

Zwei-Klassen-AdaBoost

Zwei-Klassen-AdaBoost

Visualisierung der probabilistischen Vorhersagen eines VotingClassifier

Visualisierung der probabilistischen Vorhersagen eines VotingClassifier

Beispiele basierend auf realen Datensätzen#

Anwendungen auf reale Probleme mit einigen mittelgroßen Datensätzen oder interaktiven Benutzeroberflächen.

Kompression Sensing: Tomographie-Rekonstruktion mit L1-Prior (Lasso)

Kompression Sensing: Tomographie-Rekonstruktion mit L1-Prior (Lasso)

Gesichtserkennungsbeispiel mit Eigenfaces und SVMs

Gesichtserkennungsbeispiel mit Eigenfaces und SVMs

Bildrauschen mit Kernel PCA

Bildrauschen mit Kernel PCA

Verzögerte Merkmale für Zeitreihen-Prognose

Verzögerte Merkmale für Zeitreihen-Prognose

Einfluss der Modellkomplexität

Einfluss der Modellkomplexität

Out-of-Core Klassifikation von Textdokumenten

Out-of-Core Klassifikation von Textdokumenten

Ausreißererkennung auf einem realen Datensatz

Ausreißererkennung auf einem realen Datensatz

Vorhersage-Latenz

Vorhersage-Latenz

Artenschutzmodellierung

Artenschutzmodellierung

Zeitbezogene Merkmalskonstruktion

Zeitbezogene Merkmalskonstruktion

Themenextraktion mit Non-negative Matrix Factorization und Latent Dirichlet Allocation

Themenextraktion mit Non-negative Matrix Factorization und Latent Dirichlet Allocation

Visualisierung der Aktienmarktstruktur

Visualisierung der Aktienmarktstruktur

Wikipedia-Haupteigenvektor

Wikipedia-Haupteigenvektor

Merkmalsauswahl#

Beispiele zum sklearn.feature_selection Modul.

Vergleich von F-Test und Mutual Information

Vergleich von F-Test und Mutual Information

Modellbasierte und sequentielle Merkmalsauswahl

Modellbasierte und sequentielle Merkmalsauswahl

Pipeline ANOVA SVM

Pipeline ANOVA SVM

Rekursive Merkmalseliminierung

Rekursive Merkmalseliminierung

Rekursive Merkmalseliminierung mit Kreuzvalidierung

Rekursive Merkmalseliminierung mit Kreuzvalidierung

Univariate Merkmalsauswahl

Univariate Merkmalsauswahl

Eingefrorene Estimator#

Beispiele zum sklearn.frozen Modul.

Beispiele für die Verwendung von FrozenEstimator

Beispiele für die Verwendung von FrozenEstimator

Gaußsche Mischmodelle#

Beispiele zum sklearn.mixture Modul.

Analyse des Konzentrations-Prior-Typs der Variation im Bayes'schen Gaußschen Gemisch

Analyse des Konzentrations-Prior-Typs der Variation im Bayes'schen Gaußschen Gemisch

Dichteschätzung für ein Gaußsches Gemisch

Dichteschätzung für ein Gaußsches Gemisch

GMM Initialisierungsmethoden

GMM Initialisierungsmethoden

GMM Kovarianzen

GMM Kovarianzen

Gaußsche Mischmodell-Ellipsoide

Gaußsche Mischmodell-Ellipsoide

Gaußsche Mischmodell-Auswahl

Gaußsche Mischmodell-Auswahl

Gaußsche Mischmodell-Sinuskurve

Gaußsche Mischmodell-Sinuskurve

Gaußsche Prozesse für maschinelles Lernen#

Beispiele zum sklearn.gaussian_process Modul.

Fähigkeit der Gauß-Prozess-Regression (GPR) zur Schätzung des Datenrauschpegels

Fähigkeit der Gauß-Prozess-Regression (GPR) zur Schätzung des Datenrauschpegels

Vergleich von Kernel Ridge und Gauß-Prozess-Regression

Vergleich von Kernel Ridge und Gauß-Prozess-Regression

Prognose des CO2-Spiegels im Mona Loa Datensatz mittels Gauß-Prozess-Regression (GPR)

Prognose des CO2-Spiegels im Mona Loa Datensatz mittels Gauß-Prozess-Regression (GPR)

Gauß-Prozesse Regression: grundlegendes Einführungsexempel

Gauß-Prozesse Regression: grundlegendes Einführungsexempel

Gauß-Prozess-Klassifikation (GPC) auf dem Iris-Datensatz

Gauß-Prozess-Klassifikation (GPC) auf dem Iris-Datensatz

Gauß-Prozesse auf diskreten Datenstrukturen

Gauß-Prozesse auf diskreten Datenstrukturen

Illustration der Gauß-Prozess-Klassifikation (GPC) auf dem XOR-Datensatz

Illustration der Gauß-Prozess-Klassifikation (GPC) auf dem XOR-Datensatz

Illustration von Prior und Posterior Gauß-Prozess für verschiedene Kerne

Illustration von Prior und Posterior Gauß-Prozess für verschiedene Kerne

Iso-Wahrscheinlichkeitslinien für Gauß-Prozesse Klassifikation (GPC)

Iso-Wahrscheinlichkeitslinien für Gauß-Prozesse Klassifikation (GPC)

Probabilistische Vorhersagen mit Gauß-Prozess-Klassifikation (GPC)

Probabilistische Vorhersagen mit Gauß-Prozess-Klassifikation (GPC)

Generalisierte lineare Modelle#

Beispiele zum sklearn.linear_model Modul.

Vergleich von linearen Bayes'schen Regressoren

Vergleich von linearen Bayes'schen Regressoren

Kurvenanpassung mit Bayes'scher Ridge-Regression

Kurvenanpassung mit Bayes'scher Ridge-Regression

Entscheidungsgrenzen von multinomialer und One-vs-Rest Logistischer Regression

Entscheidungsgrenzen von multinomialer und One-vs-Rest Logistischer Regression

Frühes Stoppen von Stochastic Gradient Descent

Frühes Stoppen von Stochastic Gradient Descent

Anpassen eines Elastic Net mit einer voreingestellten Gram-Matrix und gewichteten Stichproben

Anpassen eines Elastic Net mit einer voreingestellten Gram-Matrix und gewichteten Stichproben

HuberRegressor vs Ridge auf Datensatz mit starken Ausreißern

HuberRegressor vs Ridge auf Datensatz mit starken Ausreißern

Gemeinsame Merkmalsauswahl mit Multi-Task Lasso

Gemeinsame Merkmalsauswahl mit Multi-Task Lasso

L1-Strafe und Sparsity in Logistischer Regression

L1-Strafe und Sparsity in Logistischer Regression

L1-basierte Modelle für sparse Signale

L1-basierte Modelle für sparse Signale

Lasso-Modellauswahl über Informationskriterien

Lasso-Modellauswahl über Informationskriterien

Lasso-Modellauswahl: AIC-BIC / Kreuzvalidierung

Lasso-Modellauswahl: AIC-BIC / Kreuzvalidierung

Lasso auf dichten und spärlichen Daten

Lasso auf dichten und spärlichen Daten

Lasso, Lasso-LARS und Elastic Net Pfade

Lasso, Lasso-LARS und Elastic Net Pfade

MNIST-Klassifikation mittels multinomialer Logistik + L1

MNIST-Klassifikation mittels multinomialer Logistik + L1

Multiklassen-Sparse-Logistische-Regression auf 20newgroups

Multiklassen-Sparse-Logistische-Regression auf 20newgroups

Nicht-negative kleinste Quadrate

Nicht-negative kleinste Quadrate

One-Class SVM vs. One-Class SVM mittels Stochastic Gradient Descent

One-Class SVM vs. One-Class SVM mittels Stochastic Gradient Descent

Gewöhnliche kleinste Quadrate und Ridge Regression

Gewöhnliche kleinste Quadrate und Ridge Regression

Orthogonal Matching Pursuit

Orthogonal Matching Pursuit

Ridge-Koeffizienten als Funktion der Regularisierung plotten

Ridge-Koeffizienten als Funktion der Regularisierung plotten

Multi-Klassen SGD auf dem Iris-Datensatz plotten

Multi-Klassen SGD auf dem Iris-Datensatz plotten

Poisson-Regression und nicht-normale Verlustfunktion

Poisson-Regression und nicht-normale Verlustfunktion

Polynomielle und Spline-Interpolation

Polynomielle und Spline-Interpolation

Quantilregression

Quantilregression

Regularisierungspfad der L1-Logistischen Regression

Regularisierungspfad der L1-Logistischen Regression

Ridge-Koeffizienten als Funktion der L2-Regularisierung

Ridge-Koeffizienten als Funktion der L2-Regularisierung

Robuste lineare Schätzeranpassung

Robuste lineare Schätzeranpassung

Robuste lineare Modellschätzung mit RANSAC

Robuste lineare Modellschätzung mit RANSAC

SGD: Maximum Margin Trennhyperplane

SGD: Maximum Margin Trennhyperplane

SGD: Strafen

SGD: Strafen

SGD: Gewichtete Stichproben

SGD: Gewichtete Stichproben

SGD: konvexe Verlustfunktionen

SGD: konvexe Verlustfunktionen

Theil-Sen Regression

Theil-Sen Regression

Tweedie-Regression auf Versicherungsansprüchen

Tweedie-Regression auf Versicherungsansprüchen

Inspektion#

Beispiele im Zusammenhang mit dem sklearn.inspection Modul.

Häufige Fallstricke bei der Interpretation von Koeffizienten linearer Modelle

Häufige Fallstricke bei der Interpretation von Koeffizienten linearer Modelle

Versagen des maschinellen Lernens bei der Inferenz kausaler Effekte

Versagen des maschinellen Lernens bei der Inferenz kausaler Effekte

Partial Dependence und Individual Conditional Expectation Plots

Partial Dependence und Individual Conditional Expectation Plots

Permutations-Wichtigkeit vs. Random Forest Merkmals-Wichtigkeit (MDI)

Permutations-Wichtigkeit vs. Random Forest Merkmals-Wichtigkeit (MDI)

Permutations-Wichtigkeit bei multikollinearen oder korrelierten Merkmalen

Permutations-Wichtigkeit bei multikollinearen oder korrelierten Merkmalen

Kernel-Approximation#

Beispiele zum sklearn.kernel_approximation Modul.

Skalierbares Lernen mit Polynom-Kernel-Approximation

Skalierbares Lernen mit Polynom-Kernel-Approximation

Manifold-Lernen#

Beispiele zum sklearn.manifold Modul.

Vergleich von Manifold Learning Methoden

Vergleich von Manifold Learning Methoden

Manifold Learning Methoden auf einer abgetrennten Sphäre

Manifold Learning Methoden auf einer abgetrennten Sphäre

Manifold Learning auf handschriftlichen Ziffern: Locally Linear Embedding, Isomap…

Mannigfaltigkeitslernen auf handgeschriebenen Ziffern: Locally Linear Embedding, Isomap...

Mehrdimensionale Skalierung

Mehrdimensionale Skalierung

Swiss Roll und Swiss-Hole Reduktion

Swiss Roll und Swiss-Hole Reduktion

t-SNE: Der Effekt verschiedener Perplexitätswerte auf die Form

t-SNE: Der Effekt verschiedener Perplexitätswerte auf die Form

Sonstiges#

Sonstige und einführende Beispiele für scikit-learn.

Fortgeschrittene Plotting mit Partial Dependence

Fortgeschrittene Plotting mit Partial Dependence

Vergleich von Anomalieerkennungsalgorithmen zur Ausreißererkennung auf Toy-Datensätzen

Vergleich von Anomalieerkennungsalgorithmen zur Ausreißererkennung auf Toy-Datensätzen

Vergleich von Kernel Ridge Regression und SVR

Vergleich von Kernel Ridge Regression und SVR

Pipelines anzeigen

Pipelines anzeigen

Schätzer und komplexe Pipelines anzeigen

Schätzer und komplexe Pipelines anzeigen

Bewertung von Ausreißererkennungs-Schätzern

Bewertung von Ausreißererkennungs-Schätzern

Explizite Feature-Map-Approximation für RBF-Kerne

Explizite Feature-Map-Approximation für RBF-Kerne

Gesichtsvervollständigung mit Multi-Output-Schätzern

Gesichtsvervollständigung mit Multi-Output-Schätzern

Einführung der set_output API

Einführung der set_output API

Isotone Regression

Isotone Regression

Metadaten-Routing

Metadaten-Routing

Multilabel-Klassifikation

Multilabel-Klassifikation

ROC-Kurve mit Visualisierungs-API

ROC-Kurve mit Visualisierungs-API

Die Johnson-Lindenstrauss-Schranke für Einbettung mit zufälligen Projektionen

Die Johnson-Lindenstrauss-Schranke für Einbettung mit zufälligen Projektionen

Visualisierungen mit Display-Objekten

Visualisierungen mit Display-Objekten

Imputation fehlender Werte#

Beispiele zum sklearn.impute Modul.

Fehlende Werte imputieren, bevor ein Schätzer erstellt wird

Fehlende Werte imputieren, bevor ein Schätzer erstellt wird

Fehlende Werte mit Varianten von IterativeImputer imputieren

Fehlende Werte mit Varianten von IterativeImputer imputieren

Modellauswahl#

Beispiele im Zusammenhang mit dem sklearn.model_selection Modul.

Modellkomplexität und kreuzvalidierter Score ausbalancieren

Modellkomplexität und kreuzvalidierter Score ausbalancieren

Klassen-Likelihood-Verhältnisse zur Messung der Klassifikationsleistung

Klassen-Likelihood-Verhältnisse zur Messung der Klassifikationsleistung

Vergleich von zufälliger Suche und Gitter-Suche zur Hyperparameter-Schätzung

Vergleich von zufälliger Suche und Gitter-Suche zur Hyperparameter-Schätzung

Vergleich zwischen Gitter-Suche und sukzessiver Halbierung

Vergleich zwischen Gitter-Suche und sukzessiver Halbierung

Benutzerdefinierte Refit-Strategie einer Gitter-Suche mit Kreuzvalidierung

Benutzerdefinierte Refit-Strategie einer Gitter-Suche mit Kreuzvalidierung

Demonstration von Multi-Metrik-Bewertung auf cross_val_score und GridSearchCV

Demonstration von Multi-Metrik-Bewertung auf cross_val_score und GridSearchCV

Detection Error Tradeoff (DET) Kurve

Detection Error Tradeoff (DET) Kurve

Auswirkung der Modellregularisierung auf Trainings- und Testfehler

Auswirkung der Modellregularisierung auf Trainings- und Testfehler

Leistung eines Klassifikators mit Konfusionsmatrix bewerten

Leistung eines Klassifikators mit Konfusionsmatrix bewerten

Multiklassen-Receiver Operating Characteristic (ROC)

Multiklassen-Receiver Operating Characteristic (ROC)

Verschachtelte vs. nicht verschachtelte Kreuzvalidierung

Verschachtelte vs. nicht verschachtelte Kreuzvalidierung

Kreuzvalidierte Vorhersagen plotten

Kreuzvalidierte Vorhersagen plotten

Lernkurven plotten und die Skalierbarkeit von Modellen prüfen

Plotten von Lernkurven und Überprüfen der Skalierbarkeit von Modellen

Post-hoc-Anpassung des Cut-off-Punkts der Entscheidungskfunktion

Post-hoc-Anpassung des Cut-off-Punkts der Entscheidungskfunktion

Post-Hoc-Anpassung des Entscheidungsschwellenwerts für kostenempfindliches Lernen

Post-Hoc-Anpassung des Entscheidungsschwellenwerts für kostenempfindliches Lernen

Präzisions-Rückruf

Präzisions-Rückruf

Receiver Operating Characteristic (ROC) mit Kreuzvalidierung

Receiver Operating Characteristic (ROC) mit Kreuzvalidierung

Beispiel-Pipeline für Textmerkmal-Extraktion und -Bewertung

Beispiel-Pipeline für Textmerkmal-Extraktion und -Bewertung

Statistischer Vergleich von Modellen mittels Gitter-Suche

Statistischer Vergleich von Modellen mittels Gitter-Suche

Sukzessive Halbierungs-Iterationen

Sukzessive Halbierungs-Iterationen

Testen der Signifikanz eines Klassifikations-Scores mit Permutationen

Testen der Signifikanz eines Klassifikations-Scores mit Permutationen

Unter-Anpassung vs. Über-Anpassung

Unter-Anpassung vs. Über-Anpassung

Visualisierung des Kreuzvalidierungsverhaltens in scikit-learn

Visualisierung des Kreuzvalidierungsverhaltens in scikit-learn

Multiklassen-Methoden#

Beispiele zum sklearn.multiclass Modul.

Übersicht über Multiklassen-Training Meta-Estimator

Übersicht über Multiklassen-Training Meta-Estimator

Multi-Output-Methoden#

Beispiele zum sklearn.multioutput Modul.

Multilabel-Klassifikation mit einem Klassifikator-Ketten

Multilabel-Klassifikation mit einem Klassifikator-Ketten

Nächste Nachbarn#

Beispiele zum sklearn.neighbors Modul.

Annähernde nächste Nachbarn in TSNE

Annähernde nächste Nachbarn in TSNE

Caching nächster Nachbarn

Caching nächster Nachbarn

Vergleich von Nächsten Nachbarn mit und ohne Neighborhood Components Analysis

Vergleich von Nächsten Nachbarn mit und ohne Neighborhood Components Analysis

Dimensionsreduktion mit Neighborhood Components Analysis

Dimensionsreduktion mit Neighborhood Components Analysis

Kernel-Dichteschätzung von Artenverteilungen

Kernel-Dichteschätzung von Artenverteilungen

Kernel-Dichteschätzung

Kernel-Dichteschätzung

Nearest Centroid Klassifikation

Nearest Centroid Klassifikation

Nearest Neighbors Klassifikation

Nearest Neighbors Klassifikation

Nearest Neighbors Regression

Nearest Neighbors Regression

Neighborhood Components Analysis Illustration

Neighborhood Components Analysis Illustration

Neuartigkeitserkennung mit Local Outlier Factor (LOF)

Neuartigkeitserkennung mit Local Outlier Factor (LOF)

Ausreißererkennung mit Local Outlier Factor (LOF)

Ausreißererkennung mit Local Outlier Factor (LOF)

Einfache 1D Kernel-Dichteschätzung

Einfache 1D Kernel-Dichteschätzung

Neuronale Netze#

Beispiele zum sklearn.neural_network Modul.

Vergleich von stochastischen Lernstrategien für MLPClassifier

Vergleich von stochastischen Lernstrategien für MLPClassifier

Restricted Boltzmann Machine Merkmale für Ziffernklassifikation

Restricted Boltzmann Machine Merkmale für Ziffernklassifikation

Variierende Regularisierung im Multi-Layer Perceptron

Variierende Regularisierung im Multi-Layer Perceptron

Visualisierung von MLP-Gewichten auf MNIST

Visualisierung von MLP-Gewichten auf MNIST

Pipelines und zusammengesetzte Estimator#

Beispiele, wie Transformer und Pipelines aus anderen Estimatorn zusammengesetzt werden. Siehe das Benutzerhandbuch.

Column Transformer mit heterogenen Datenquellen

Column Transformer mit heterogenen Datenquellen

Column Transformer mit gemischten Typen

Column Transformer mit gemischten Typen

Verkettung mehrerer Merkmalsextraktionsmethoden

Verkettung mehrerer Merkmalsextraktionsmethoden

Auswirkung der Transformation der Ziele in einem Regressionsmodell

Auswirkung der Transformation der Ziele in einem Regressionsmodell

Pipelining: Verkettung einer PCA und einer logistischen Regression

Pipelining: Verkettung einer PCA und einer logistischen Regression

Dimensionsreduktion auswählen mit Pipeline und GridSearchCV

Dimensionsreduktion auswählen mit Pipeline und GridSearchCV

Vorverarbeitung#

Beispiele zum sklearn.preprocessing Modul.

Vergleich der Auswirkungen verschiedener Skalierer auf Daten mit Ausreißern

Vergleich der Auswirkungen verschiedener Skalierer auf Daten mit Ausreißern

Vergleich von Target Encoder mit anderen Encodern

Vergleich von Target Encoder mit anderen Encodern

Demonstration der verschiedenen Strategien von KBinsDiscretizer

Demonstration der verschiedenen Strategien von KBinsDiscretizer

Merkmalsdiskretisierung

Merkmalsdiskretisierung

Bedeutung der Merkmalskalierung

Bedeutung der Merkmalskalierung

Daten auf eine Normalverteilung abbilden

Daten auf eine Normalverteilung abbilden

Target Encoders interne Kreuzanpassung

Internes Cross-Fitting des Target Encoders

Verwendung von KBinsDiscretizer zur Diskretisierung kontinuierlicher Merkmale

Verwendung von KBinsDiscretizer zur Diskretisierung kontinuierlicher Merkmale

Semi-überwachte Klassifizierung#

Beispiele zum sklearn.semi_supervised Modul.

Entscheidungsgrenze semi-überwachter Klassifikatoren vs. SVM auf dem Iris-Datensatz

Entscheidungsgrenze semi-überwachter Klassifikatoren vs. SVM auf dem Iris-Datensatz

Auswirkung der Änderung des Schwellenwerts für Self-Training

Auswirkung der Änderung des Schwellenwerts für Self-Training

Label Propagation Kreise: Lernen einer komplexen Struktur

Label Propagation Kreise: Lernen einer komplexen Struktur

Label Propagation Ziffern: Aktives Lernen

Label Propagation Ziffern: Aktives Lernen

Label Propagation Ziffern: Leistung demonstrieren

Label Propagation Ziffern: Leistung demonstrieren

Semi-überwachte Klassifikation auf einem Textdatensatz

Semi-überwachte Klassifikation auf einem Textdatensatz

Support Vector Machines#

Beispiele zum sklearn.svm Modul.

One-Class SVM mit nicht-linearem Kernel (RBF)

One-Class SVM mit nicht-linearem Kernel (RBF)

Klassifikationsgrenzen mit verschiedenen SVM-Kernen plotten

Klassifikationsgrenzen mit verschiedenen SVM-Kernen plotten

Verschiedene SVM-Klassifikatoren im Iris-Datensatz plotten

Verschiedene SVM-Klassifikatoren im Iris-Datensatz plotten

Support Vektoren in LinearSVC plotten

Support Vektoren in LinearSVC plotten

RBF SVM Parameter

RBF SVM Parameter

SVM-Randbeispiel

SVM-Randbeispiel

SVM-Gleichstandsbeispiel

SVM-Gleichstandsbeispiel

SVM mit benutzerdefiniertem Kernel

SVM mit benutzerdefiniertem Kernel

SVM-Anova: SVM mit universitärer Merkmalsauswahl

SVM-Anova: SVM mit universitärer Merkmalsauswahl

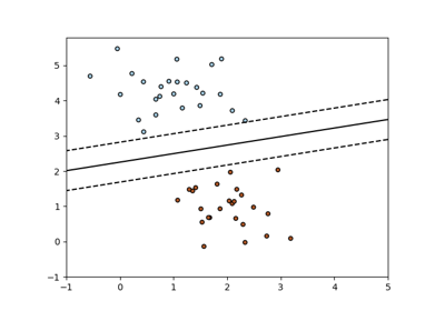
SVM: Maximum Margin Trennhyperplane

SVM: Maximum Margin Trennhyperplane

SVM: Trennhyperplane für unausgeglichene Klassen

SVM: Trennhyperplane für unausgeglichene Klassen

SVM: Gewichtete Stichproben

SVM: Gewichtete Stichproben

Skalierung des Regularisierungsparameters für SVCs

Skalierung des Regularisierungsparameters für SVCs

Support Vector Regression (SVR) mit linearen und nicht-linearen Kernen

Support Vector Regression (SVR) mit linearen und nicht-linearen Kernen

Arbeiten mit Textdokumenten#

Beispiele zum sklearn.feature_extraction.text Modul.

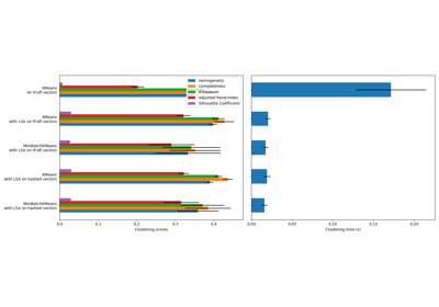
Klassifikation von Textdokumenten mit spärlichen Merkmalen

Klassifikation von Textdokumenten mit spärlichen Merkmalen

Clustering von Textdokumenten mit K-Means

Clustering von Textdokumenten mit K-Means

FeatureHasher und DictVectorizer Vergleich

FeatureHasher und DictVectorizer Vergleich

Galerie generiert von Sphinx-Gallery